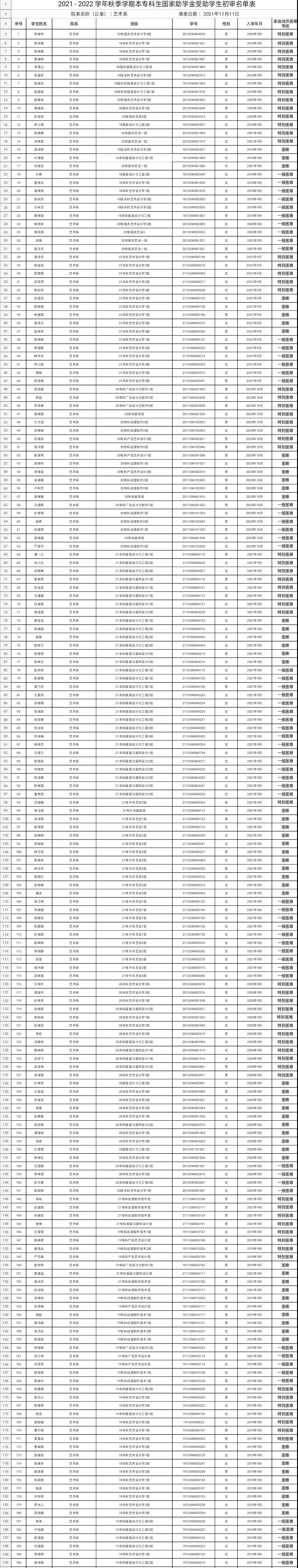
艺术系关于对拟获 2021-2022 学年秋季学期国家助学金员工名单的公示,经班级资助工作评审小组推荐、系部资助工作评审小组审核,决定推荐李俊华等 188位同学符合“2020-2021 学年秋季学期国家助学金申请条件”具体名单见附件(图片);现予以公示。对推荐名单如有异议,请以书面形式并署真实姓名,于 2021年11月18日前向公司辅导员办公室反映。
联系地址:艺术楼二楼辅导员办公室
联系电话:19867388523
附件:2021-2022 学年秋季学期本专科生国家助学金受助员工初审名单表
伟德源自英国1946艺术系
二0二一年十一月十四日
